在人工智能技术迅猛发展的背景下,数据生成量急剧增长,同时伴随着隐私泄露的风险。量子计算的快速进步对传统密码学框架构成了挑战,各国和地区(如欧盟和美国)也在积极推动个人数据隐私保护的立法。为应对这些挑战,安全多方计算(MPC)、同态加密、差分隐私等技术成为有效的用户隐私保护工具。逻辑回归作为一种相对简单的算法,其计算过程简洁,并在现实应用中具备实用价值。大多数现有方法使用一阶梯度下降算法,导致迭代次数增多,这在MPC场景中加大了通信开销,在HE上下文中则增加了计算成本。此外,一些方法依赖于受信第三方,这可能引发隐私泄露风险,而有些则基于同态加密仅涉及单个参与者,且大多数方法集中于二分类问题,对多分类问题的讨论较少。
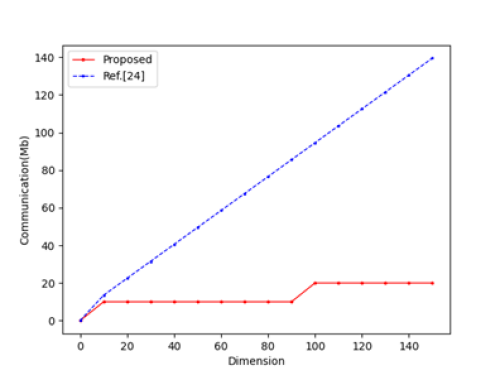
近日,重庆研究院自动推理与认知研究中心在ICICS2024上发表了题为《Privacy-preserving Logistic Regression Model Training Scheme by Homomorphic Encryption》的研究成果。该论文提出了一种新的隐私保护逻辑回归解决方案,在数据横向分布场景中,充分利用双方数据,实现双用户的交互式计算。该研究利用牛顿法解决逻辑回归问题,以尽量减少迭代次数,降低由交互造成的通信开销,使用共轭梯度法求解牛顿更新方向,避免在密文域中进行矩阵求逆所需的除法操作,并能够将二分类问题高效扩展至多分类场景。
该研究为隐私保护逻辑回归模型的高效训练提供了一种新的思路和方法,在保护用户隐私的前提下,提升了模型训练的效率和实用性。

图1 通信量对比(不同数据维数)

图2 通信量对比(特征维数=9,不同迭代次数)
(a)固定外层循环 (b)固定内层循环

图3 通信量对比(特征维数=90,不同迭代次数)
(a)固定外层循环 (b)固定内层循环
重庆研究院硕士研究生苗炜捷为论文的第一作者,吴文渊研究员为通讯作者。该研究工作,得到了科技部重点专项、中国科学院西部青年学者等支持。
论文链接:
http://icics2024.aegean.gr/wp-content/uploads/2024/08/150560255.pdf
