β-葡聚糖具有降血脂、调整血糖等多种保健功能,对食品加工也有重要的影响。大麦是β-葡聚糖含量较高的作物,β-葡聚糖已是大麦品质育种的重要目标之一,但是其含量差异的机制还不明确,难以进行大麦β-葡聚糖含量靶向育种。
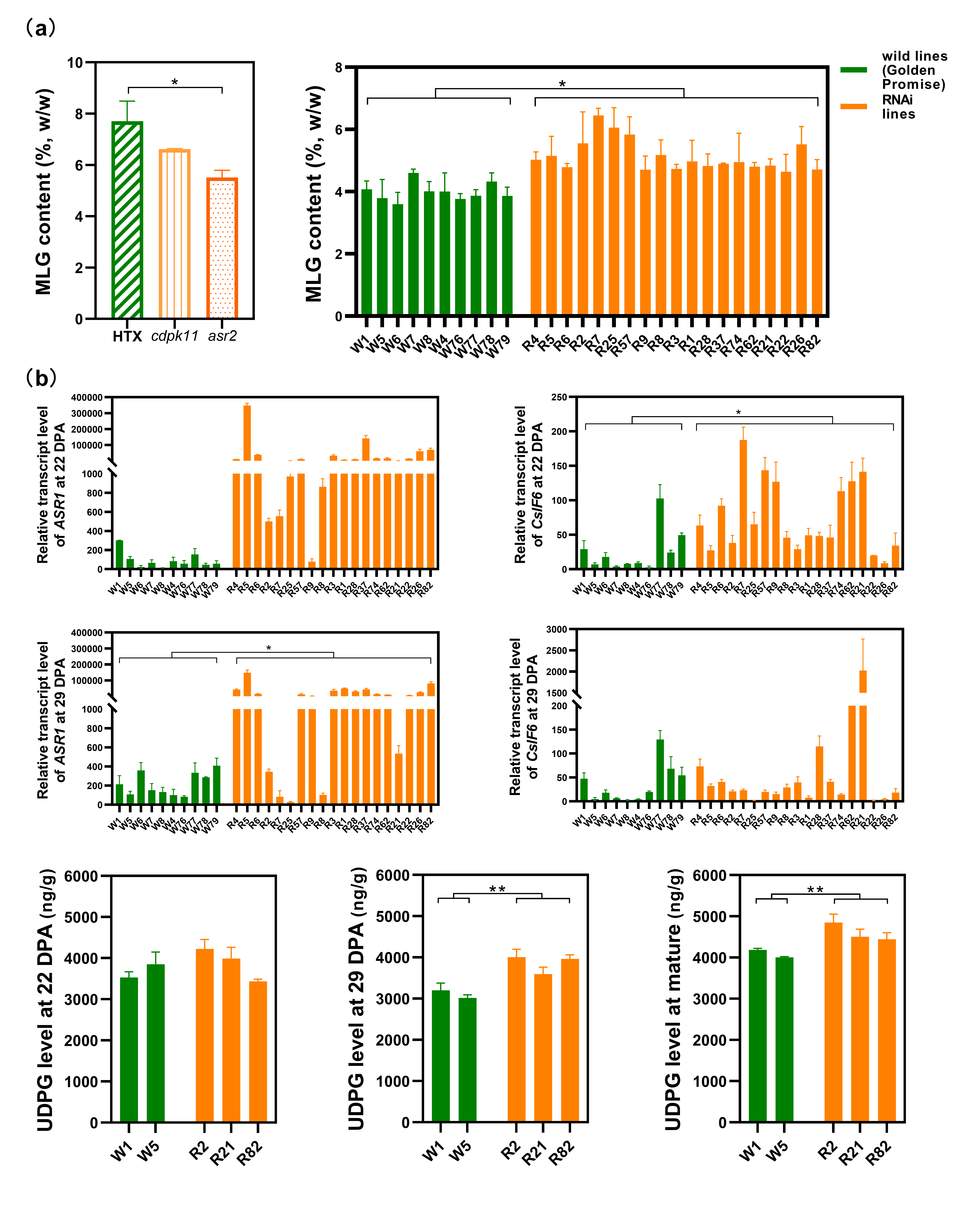
近日,中国科学院成都生物研究所麦类作物分子育种与应用创新团队在大麦β-葡聚糖含量差异机制解析中取得突破。研究人员发现大麦直链淀粉与β-葡聚糖含量显著负相关,基于直链淀粉合成的关键基因--Waxy基因的突变型大麦材料,构建了高、低β-葡聚糖含量大麦混池,联合转录组、蛋白组和代谢组分析,发现Waxy基因功能缺失突变体β-葡聚糖含量升高与胁迫响应,尤其是与脱落酸(ABA)信号响应增强有关。结合酵母杂交、BiFC等方法,鉴定到四个与β-葡聚糖合成重要基因CsLF6的转录因子ILR3、BTF3、RGGA和PR13,这些基因均参与胁迫响应,并在高β-葡聚糖含量大麦中保持较高的表达水平。进一步通过基因功能研究,发现脱落酸胁迫诱导蛋白基因(ABA stress ripening induced protein 1,ASR1)可正向调控β-葡聚糖合成,当ASR1表达上调时,CsLF6的表达水平及β-葡聚糖合成底物UDPG的浓度随之升高。该研究为β-葡聚糖含量差异机制的解析展现了新的视角,为进一步发掘β-葡聚糖含量差异的关键基因提供了重要基础。
相关研究成果以“β-Glucan content increase in Waxy-mutated barley is closely associated with positive stress responses and is regulated by ASR1”为题发表于SCI一区TOP期刊《Carbohydrate Polymers》。论文第一作者为中国科学院成都生物研究所青年副研究员李俏,通讯作者为潘志芬研究员。该项研究得到了国家自然科学基金联合基金项目(U20A2026)、第二次青藏高原综合科学考察研究(2019QZKK0303)、国家自然科学基金青年基金项目(32201847)、四川省自然科学基金青年基金等项目的资助(2024NSFSC1205)。
原文链接:https://doi.org/10.1016/j.carbpol.2024.122536

图1. 多组学显著富集的生物过程

图2. 高β-葡聚糖糯大麦中多个胁迫响应过程增强

图3. ABA信号途径与糯大麦籽粒β-葡聚糖显著增加密切相关

图4. ASR1正向调控大麦β-葡聚糖合成

图5. Waxy基因引起的直链淀粉含量降低、β-葡聚糖含量升高的推测机制
